

Устойчивость и оптимизация замкнутых систем управления
Авторы: Егоров А. И.
Издательство: ЛАНЬ
ISBN 978-5-507-47801-9; 2023 г.
Кол-во страниц: 236
О книге:
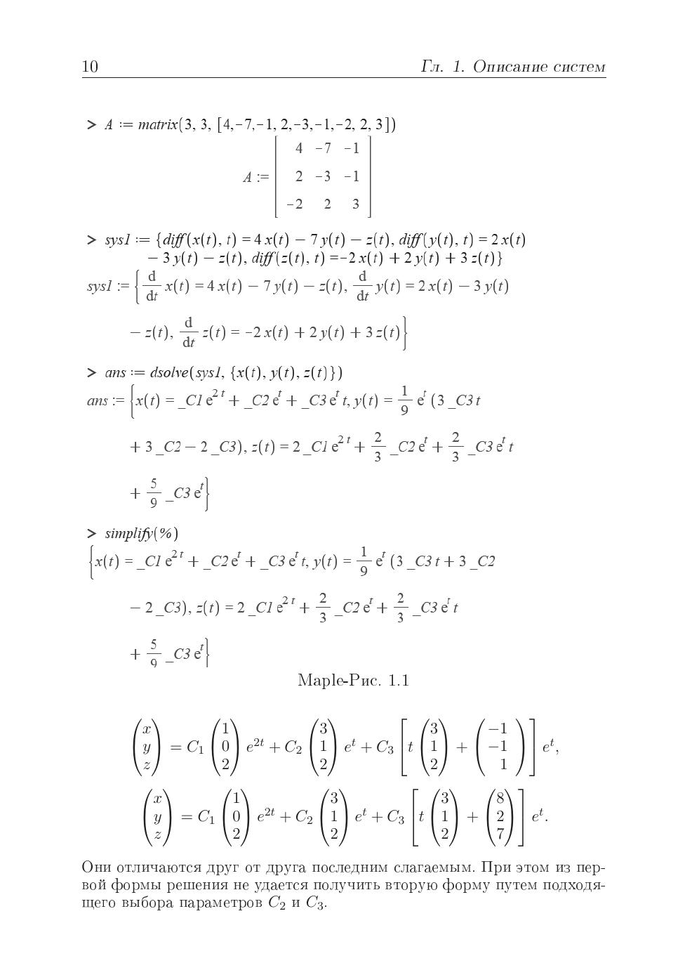
Учебное пособие соответствует факультетскому курсу, который читается на кафедре математических основ управления, и предназначено для студентов магистратуры, обучающихся по специальности «Прикладные математика и физика». Учебное пособие соответствует программе курса и образовательному стандарту. Рассматриваются замкнутые системы, описываемые дифференциальными, интегро-дифференциальными и разностными уравнениями, а также в виде структурных схем. При решении соответствующих уравнений широко используется компьютерный пакет Maple. Исследуются проблемы устойчивости, управляемости и наблюдаемости, а также оптимального управления.