

Автомобильная электроника и электрооборудование. Системы
Авторы: Смирнов Ю. А., Детистов В. А.
Издательство: ЛАНЬ
Издание: 2-е изд., стер.
ISBN 978-5-507-47122-5; 2023 г.
Кол-во страниц: 308
О книге:
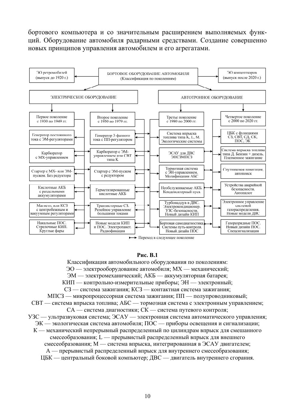
В пособии представлены основные сведения, особенности, принципы действия, эксплуатационные характеристики электрооборудования, электронные и микропроцессорные системы бортовой автоматики комплексных систем энергоснабжения и управления двигателями внутреннего сгорания современных автомобилей, системы освещения, световой и звуковой сигнализации. Пособие предназначено для студентов высших учебных заведений, обучающихся по укрупненной группе специальностей «Техника и технологии наземного транспорта».