

ЕГЭ 2016. Математика. Уравнения и системы уравнений. Задача 13 (профильный уровень). Рабочая тетрадь
Авторы: Шестаков С.А., Захаров П.И.
Под ред. Ященко И.В.
Издательство: МЦНМО (Московский центр непрерывного математического образования)
ISBN 978-5-4439-2423-6; 2016 г.
Кол-во страниц: 177
О книге:
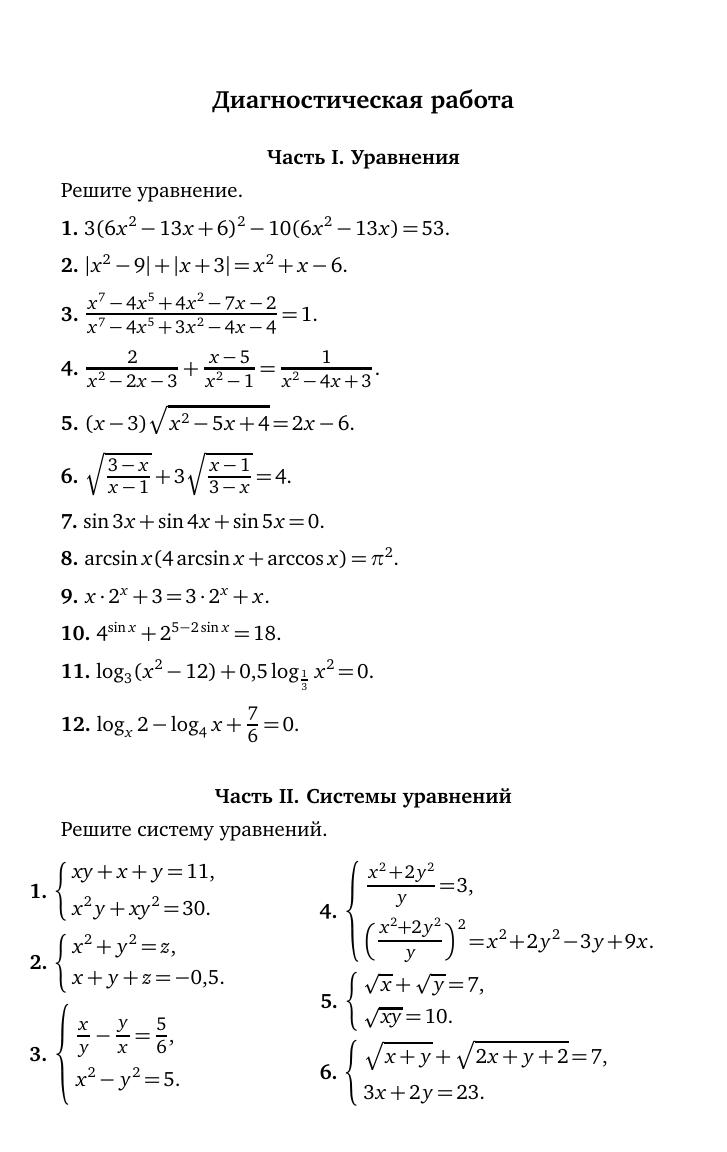
Пособия по математике серии «ЕГЭ 2016. Математика» ориентированы на подготовку учащихся старшей школы к успешной сдаче единого государственного экзамена по математике. В данном учебном пособии представлен материал для подготовки к решению задачи 13 профильного уровня. На различных этапах обучения пособие поможет обеспечить уровневый подход к организации повторения, осуществить контроль и самоконтроль знаний по теме «Уравнения и системы уравнений». Пособие предназначено для учащихся старшей школы, учителей математики, родителей. Издание соответствует новому Федеральному государственному образовательному стандарту (ФГОС).