 
        
        
        
        
     
	Новый англо-русский, русско-английский словарь
				                            Авторы: Мюллер В.К.
                                                            Издательство: Рубайло М.М.
            
                                  ISBN 978-5-93642-332-1; 2014 г.
                    Кол-во страниц: 512
                
	
О книге:
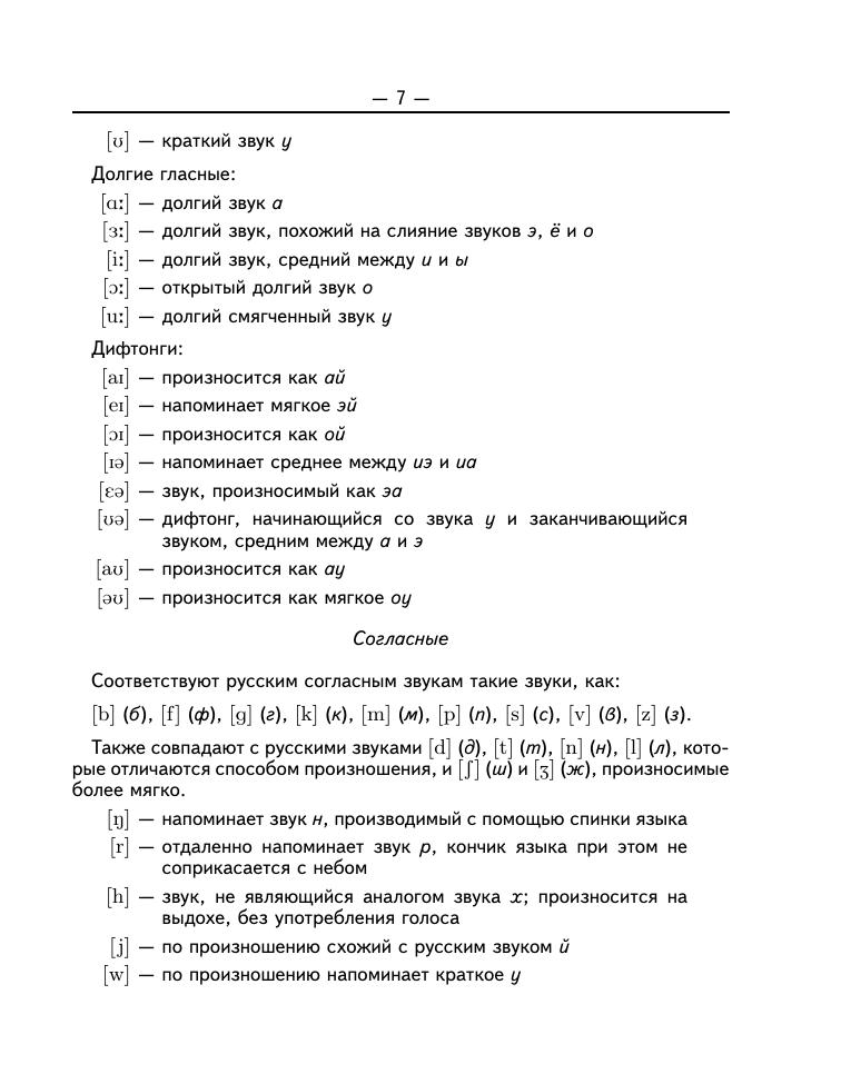
Словарь содержит около 50000 слов и словосочетаний, которые наиболее часто употребляются в современных русском и английском языках. Помимо обычной лексики, представлено множество слов и выражений разговорной, научной и специализированной тематики. Для наиболее ясного понимания произношения слов в словарных статьях приводится транскрипция, основанная на нормах общепринятого транскрибирования.
Словарь будет полезен переводчикам, преподавателям, научным сотрудникам, школьникам и студентам различных вузов.