

Техника и технологии в животноводстве
Авторы: Фокин В. Г.
Издательство: ЛАНЬ
Издание: 2-е изд., стер.
ISBN 978-5-507-46325-1; 2023 г.
Кол-во страниц: 440
О книге:
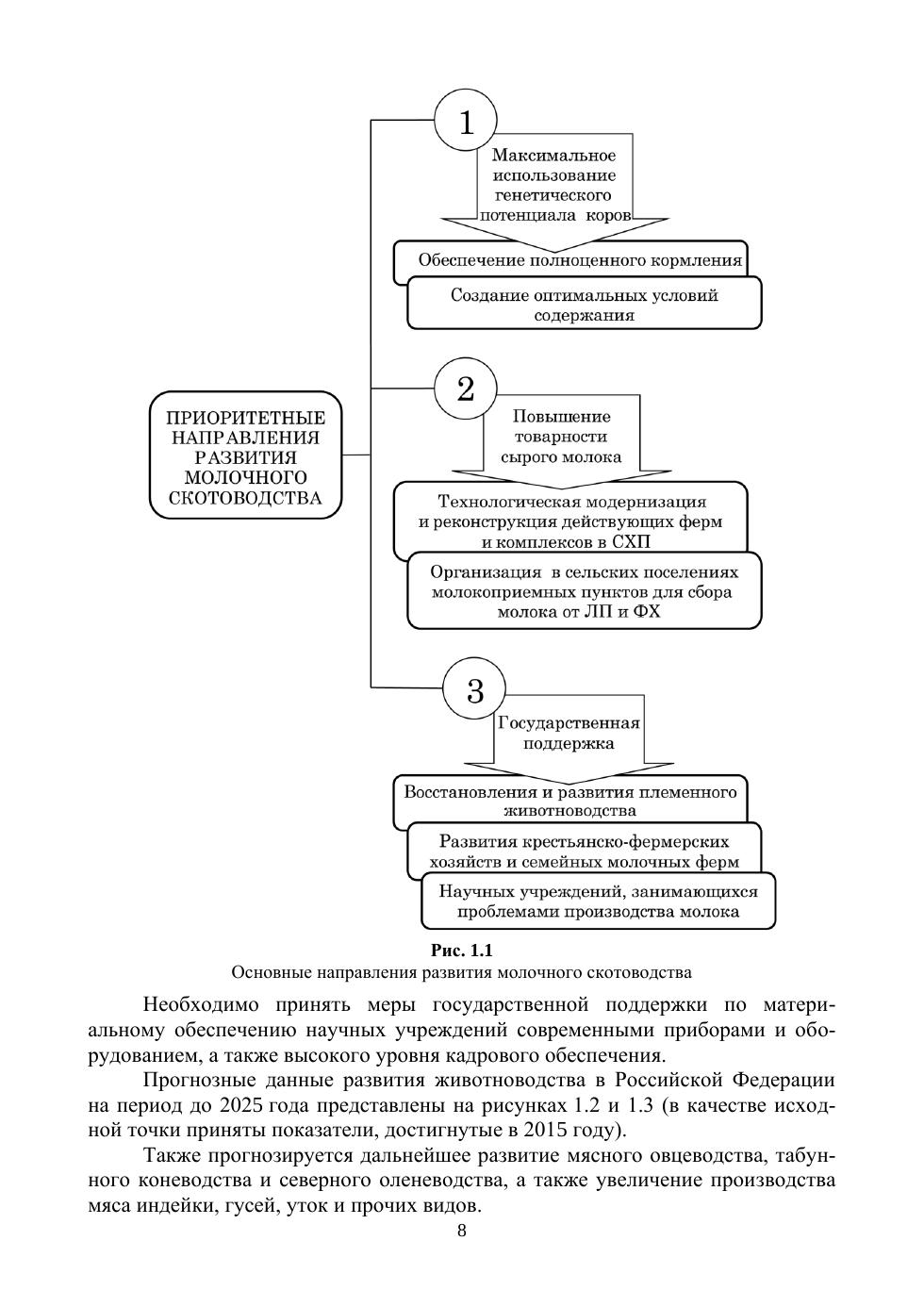
В учебнике рассмотрены приоритетные направления развития животно-водства, передовые технологии, системы и способы содержания животных. Изложены вопросы механизации и технологии производства и переработки продукции животноводства с использованием современного энергосберегающего оборудования. Представлены основы расчета конструктивных параметров, эксплуатационных и энергетических характеристик применяемых машин и оборудования. Приведены вопросы эксплуатации и обслуживания средств механизации и животноводческих предприятий. Для студентов высших учебных заведений, осваивающих образова-тельные программы бакалавриата и магистратуры по инженерным направлениям подготовки.