

Уголовное право (общая часть). Учебное пособие
Уголовное право (общая часть). Учебное пособие
Авторы: Гельдибаев М.Х.
Издательство: НИУ ИТМО (Санкт-Петербургский национальный исследовательский университет информационных технологий, механики и оптики)
2016 г.
Кол-во страниц: 157
О книге:
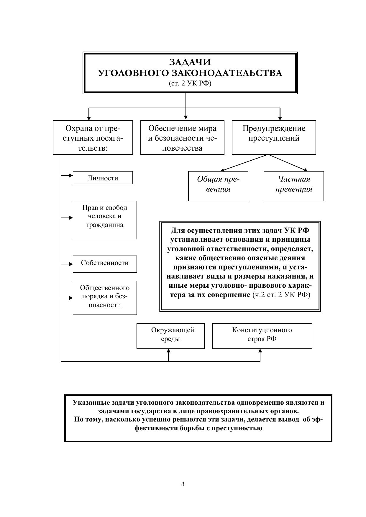
В учебном пособии схематично рассмотрены наиболее актуальные вопросы общей части уголовного права Российской Федерации, изложенные в схемах и определениях. Подобная форма изложения материала помогает освежить, систематизировать и закрепить ранее полученные знания при подготовке к сдаче экзамена. Представленный материал дается с учетом изменений и дополнений, внесенных в российское уголовное законодательство - УК РФ. Учебное пособие предназначено для студентов специальности 38.05.02 «Таможенное дело»