

Право интеллектуальной собственности
Авторы: Шаблова Е. Г., Жевняк О. В., Соснин А. В.
Издательство: ФЛИНТА
Издание: 2-е изд.
ISBN 978-5-9765-5029-2; 2022 г.
Кол-во страниц: 159
О книге:
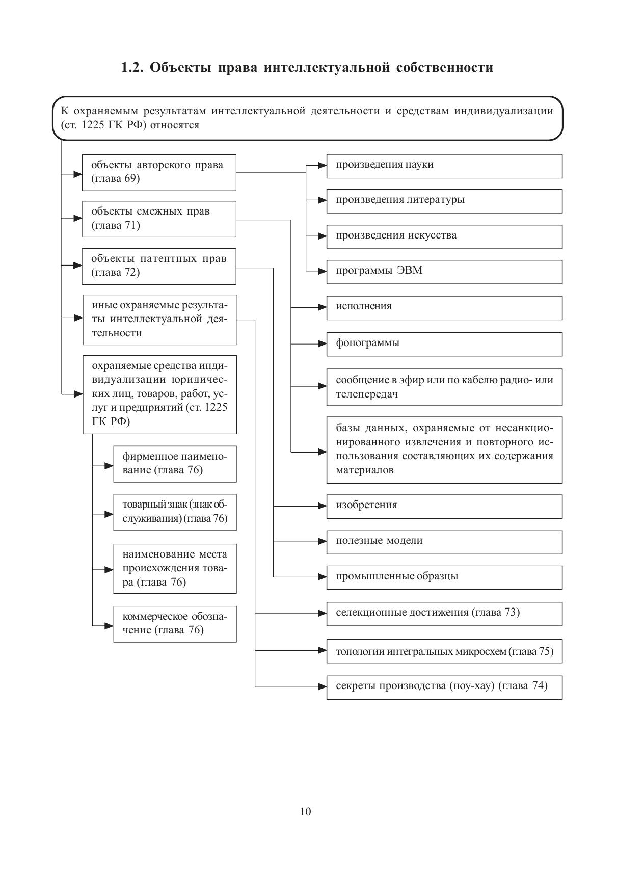
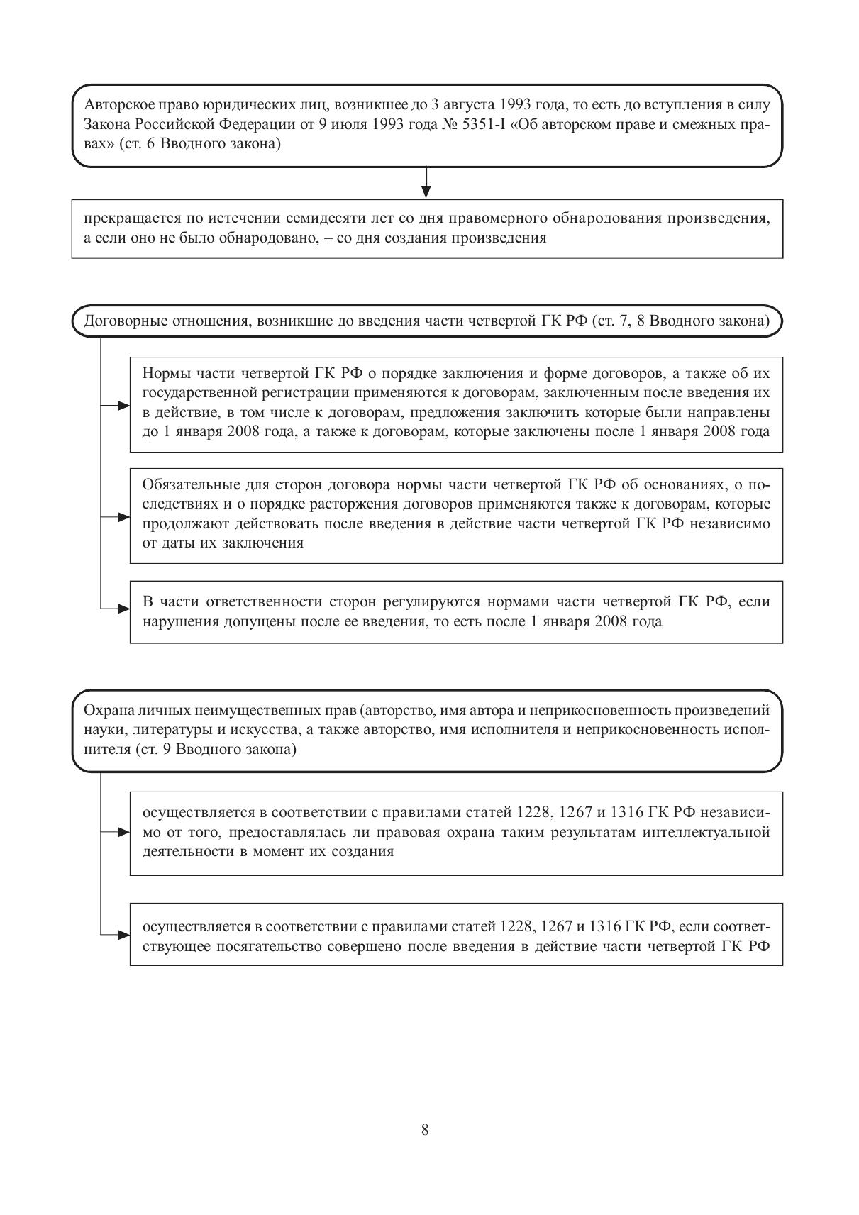
В учебное пособие включены схемы, сформированные на основе нормативного материала части четвертой Гражданского кодекса РФ. Схемы сгруппированы по темам (общие положения права интеллектуальной собственности, авторское право, права, смежные с авторскими, патентное право, право на секреты производства и на средства индивидуализации юридических лиц) и снабжены правовыми кейсами, составленными по материалам судебной практики, обобщенной Верховным Судом РФ и Высшим Арбитражным Судом РФ. Для студентов, осваивающих юридические, экономические и технические специальности.