X
Расширенный поиск
Все разделы
Корзина
у вас нет товаров
Гражданское право в схемах и таблицах. Общая часть Перепелкина Н. В.

Гражданское право в схемах и таблицах. Общая часть

Авторы:
Издательство: Издательский дом "Дело" РАНХиГС
ISBN 978-5-8180-0681-9; 2025 г.
Кол-во страниц: 110

Положить в корзину

Предварительный просмотр:

О книге:

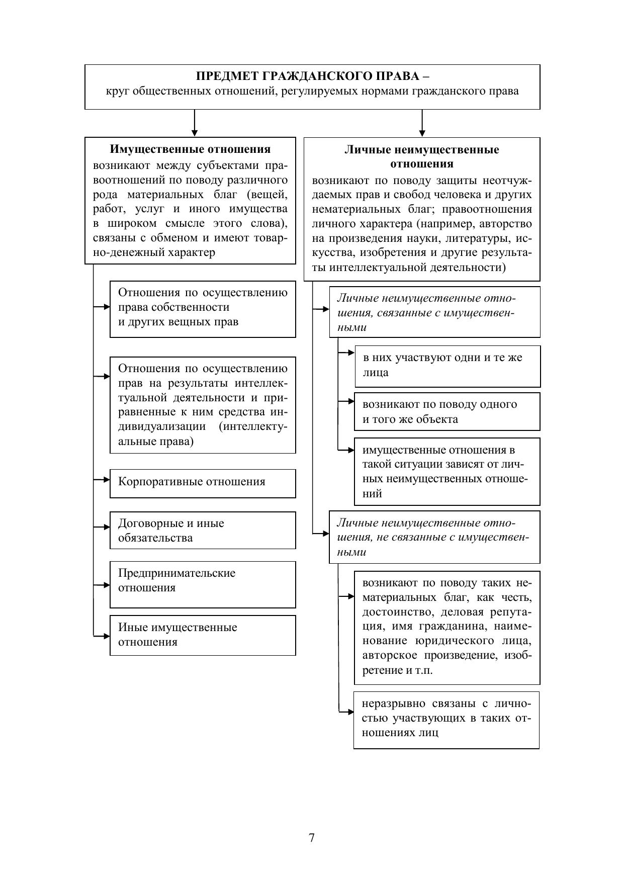
В учебном пособии в форме схем и таблиц наглядно представлено содержание дисциплины «Гражданское право» в соответствии с действующими нормативно-правовыми актами (по состоянию на октябрь 2024 г.); материалами правоприменительной практики; учебными методическими и научными изданиями, представляющими ведущие российские школы цивилистики. Для студентов юридических и неюридических специальностей, бакалавров, магистрантов и аспирантов соответствующих направлений подготовки, занимающихся различными проблемами гражданского права.

Вверх