 
        
        
        
        
     
	Гражданское право в схемах. Общая часть
				                            Авторы: Зинченко А. И.
                                                            Издательство: Издательский дом "Дело" РАНХиГС
            
                            Издание: 2-е изд., перераб. и доп.
                          ISBN 978-5-8180-0655-0; 2023 г.
                    Кол-во страниц: 122
                
	
О книге:
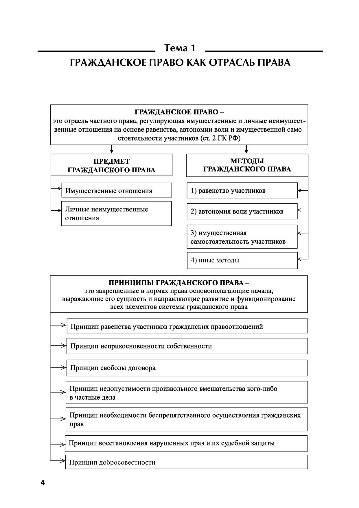
Учебное пособие представляет собой схематичное изложение основ и понятий дисциплины «Гражданское право. Общая часть». Для студентов юридических и неюридических специальностей всех форм обучения.
Вверх