

Справочник по математике для бакалавров
Авторы: Вдовин А. Ю., Воронцова Н. Л., Золкина Л. А., Мухина В. М.
Издательство: ЛАНЬ
ISBN 978-5-8114-1596-0; 2022 г.
Кол-во страниц: 80
О книге:
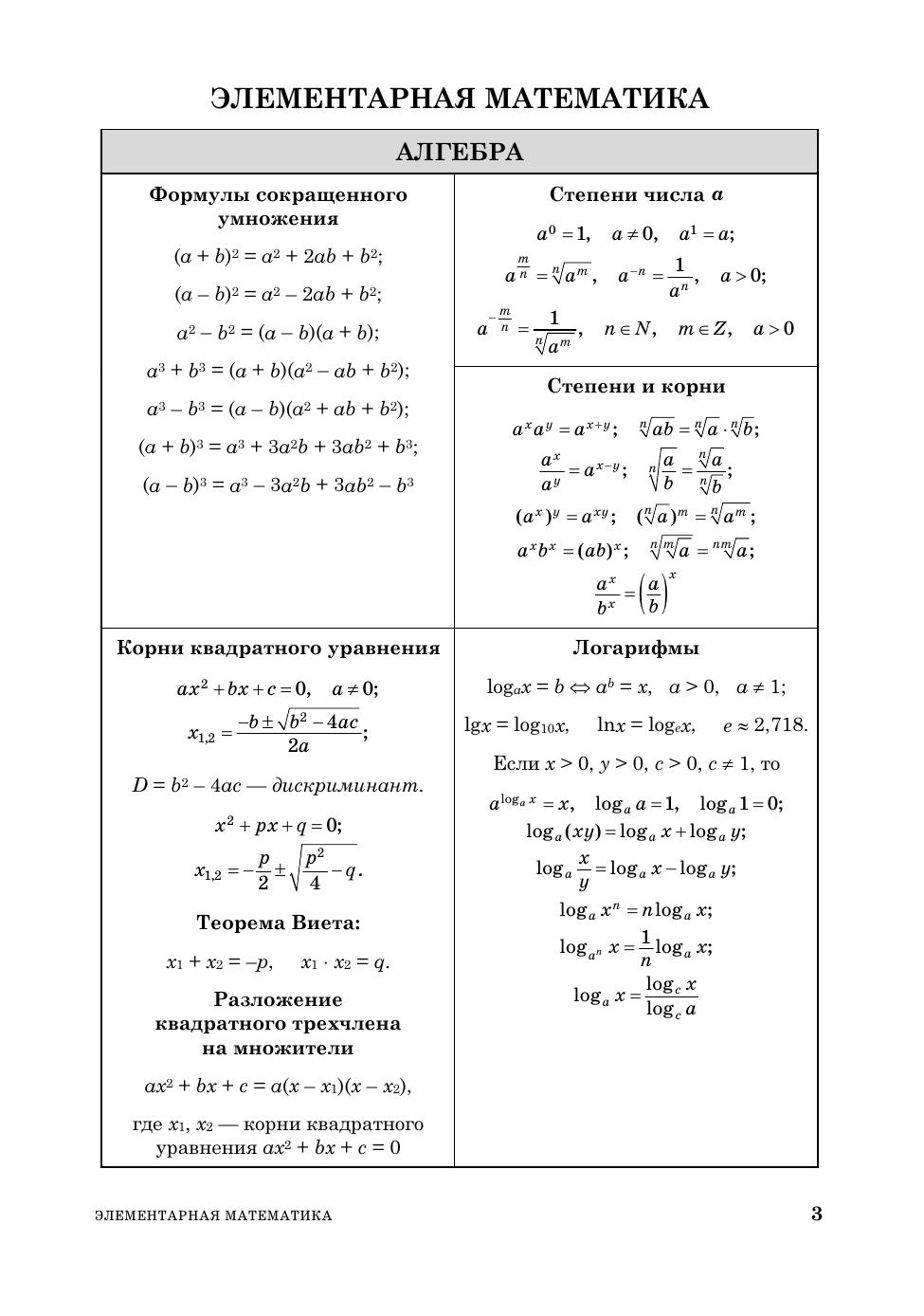
Справочное пособие предназначается для студентов всех направлений и специальностей, имеющих в учебном плане математические дисциплины. Содержит материал по основным разделам математики, предусмотренным программами бакалавриата: линейная алгебра, векторная алгебра, аналитическая геометрия, математический анализ, комплексный анализ, дифференциальные уравнения, ряды, теория вероятностей, математическая статистика, дискретная математика. Рекомендуется студентам дневной и, особенно, заочной и дистанционной форм обучения. По мнению авторов, его использование существенно повышает эффективность проведения практических и лабораторных занятий, а также результативность самостоятельной работы при подготовке к контрольным мероприятиям, зачетам и экзаменам, проводимым как в традиционной форме, так и в форме тестирования. Пособие обладает оптимальным сочетанием небольшого объема с полнотой и доступностью изложения материала.