

Сборник задач по высшей математике. Часть II
Авторы: Биматова О.М.
Издательство: Национальный исследовательский Томский государственный университет
2011 г.
Кол-во страниц: 64
О книге:
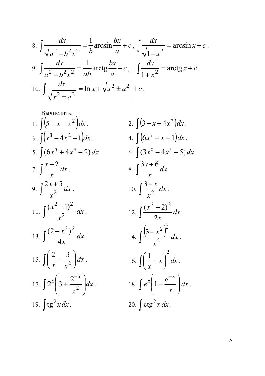
Сборник задач разработан для студентов I курса естественных факультетов. Содержит большое количество задач по основным разделам высшей математики: неопределенный интеграл, определенный интеграл, приложения определенного интеграла к задачам естествознания, ряды, дифференциальные уравнения, функции многих переменных. Для подготовки к тестированию добавлен раздел «Повторение».
Вверх