

Математика. Курс лекций для студентов направления «Медицинская биофизика». Часть 2
Авторы: Секаева Л. Р.
Издательство: ЛАНЬ
ISBN 978-5-507-46877-5; 2023 г.
Кол-во страниц: 84
О книге:
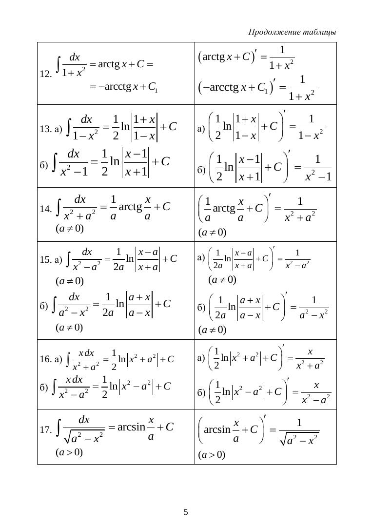
Данное учебное пособие предназначено для студентов Института фундаментальной медицины и биологии направления «Медицинская биофизика». Пособие содержит следующие разделы: элементы линейной алгебры, аналитическая геометрия на плоскости и в пространстве, множества, функции и их пределы, производная, приложения производных, а также включает разобранные решения задач вручную и с помощью пакета математических программ MAXIMA.
Вверх