X
Расширенный поиск
Все разделы
Корзина
у вас нет товаров
Сборник индивидуальных заданий по математике для технических высших учебных заведений. Часть 1 Архангельский А. И., Бажанов В. И.

Сборник индивидуальных заданий по математике для технических высших учебных заведений. Часть 1

Авторы:
Издательство: ЛАНЬ
Издание: 2-е изд., испр.
ISBN 978-5-8114-1562-5; 2022 г.
Кол-во страниц: 608

Положить в корзину

Предварительный просмотр:

О книге:

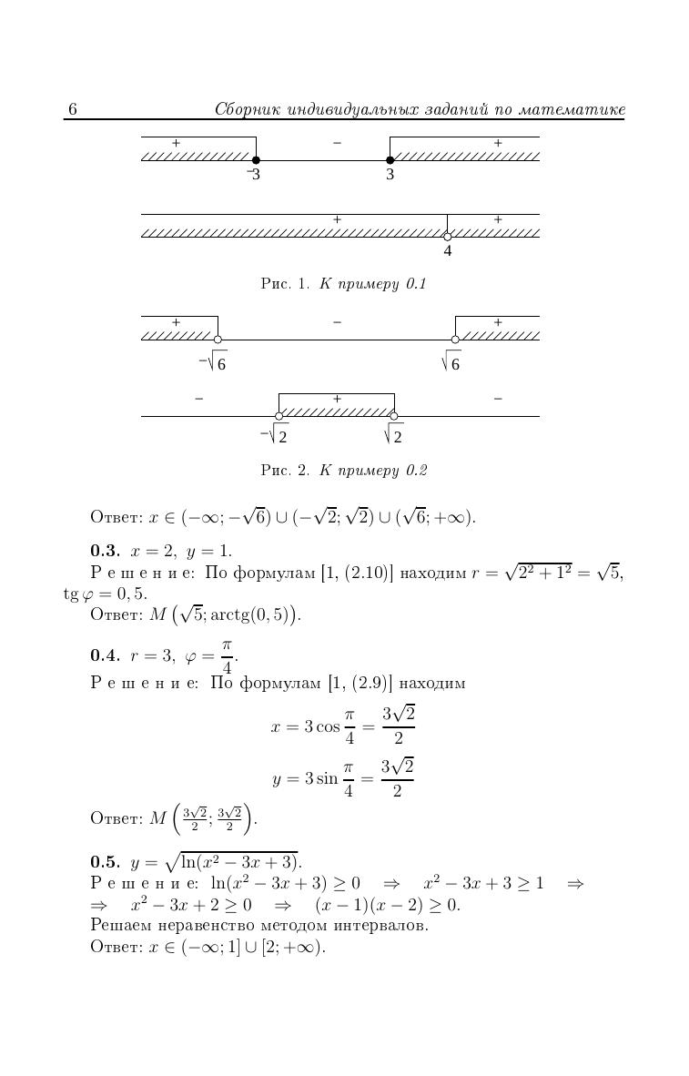
Учебное пособие соответствует требованиям Государственного образовательного стандарта. В сборник вошли варианты заданий, которые должны быть выполнены студентами в I–II семестрах (часть I) и в III–IV семестрах (часть II). В приведенных решениях примерных типовых вариантов по каждому из разделов даны ссылки на соответствующие теоремы, определения, разделы, лекции или формулы из «Курса математики для технических высших учебных заведений» под редакцией В. Б. Миносцева и Е. А. Пушкаря, при этом первая цифра в ссылке указывает на соответствующую часть учебного пособия. Пособие предназначено для студентов технических, физико-математических и экономических направлений.

Последние просмотренные
Вверх