

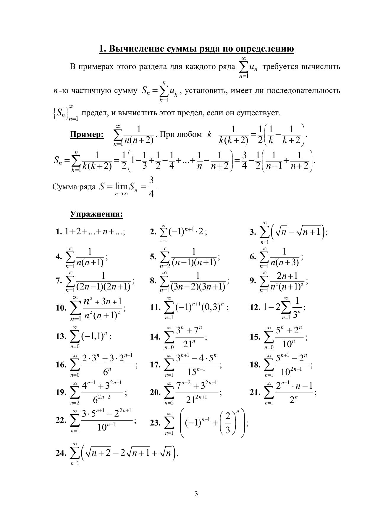
Ряды. Методические указания по решению задач
Ряды. Методические указания по решению задач
Авторы: Блинова И.В., Виноградова Т.Н., Кубенский А.А., Панкратова Т.Ф.
Петрашень А.Г., Попов И.Ю.
Издательство: НИУ ИТМО (Санкт-Петербургский национальный исследовательский университет информационных технологий, механики и оптики)
2008 г.
Кол-во страниц: 50
О книге:
Пособие предполагается использовать для самостоятельной работы студентов по теме «Ряды». Предназначено студентам всех специальностей и преподавателям.
Вверх