

Автомобильная электроника и электрооборудование. Системы
Авторы: Смирнов Ю. А., Детистов В. А.
Издательство: ЛАНЬ
Издание: 3-е изд., стер.
ISBN 978-5-507-45807-3; 2023 г.
Кол-во страниц: 308
О книге:
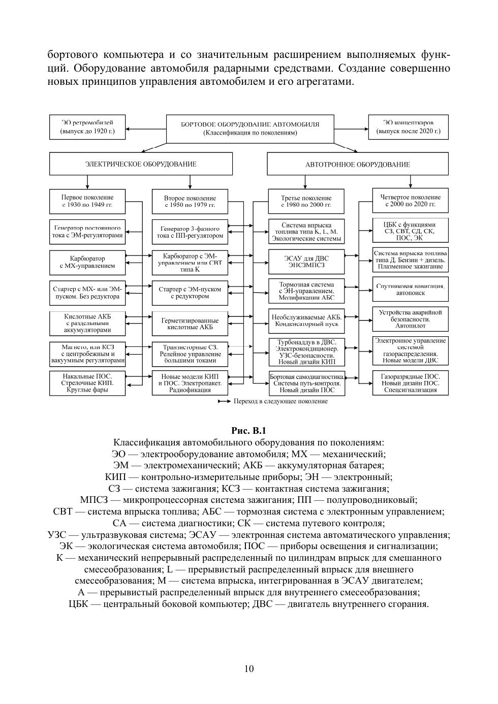
В части пособия системы представлены основные сведения, особенности, принципы действия, эксплуатационные характеристики электрооборудования, электронные и микропроцессорные системы бортовой автоматики комплексных систем энергоснабжения и управления двигателями внутреннего сгорания современных автомобилей, системы освещения, световой и звуковой сигнализации. Соответствует современным требованиям Федерального государственного образовательного стандарта среднего профессионального образования и профессиональным квалификационным требованиям. Пособие предназначено для студентов СПО по специальностям «Техническое обслуживание и ремонт автомобильного транспорта» и «Эксплуатация транспортного электрооборудования и автоматики».