

Таблицы свойств холодильных агентов
Таблицы свойств холодильных агентов
Авторы: Цветков О.Б., Лаптев Ю.А.
Издательство: НИУ ИТМО (Санкт-Петербургский национальный исследовательский университет информационных технологий, механики и оптики)
2013 г.
Кол-во страниц: 52
О книге:
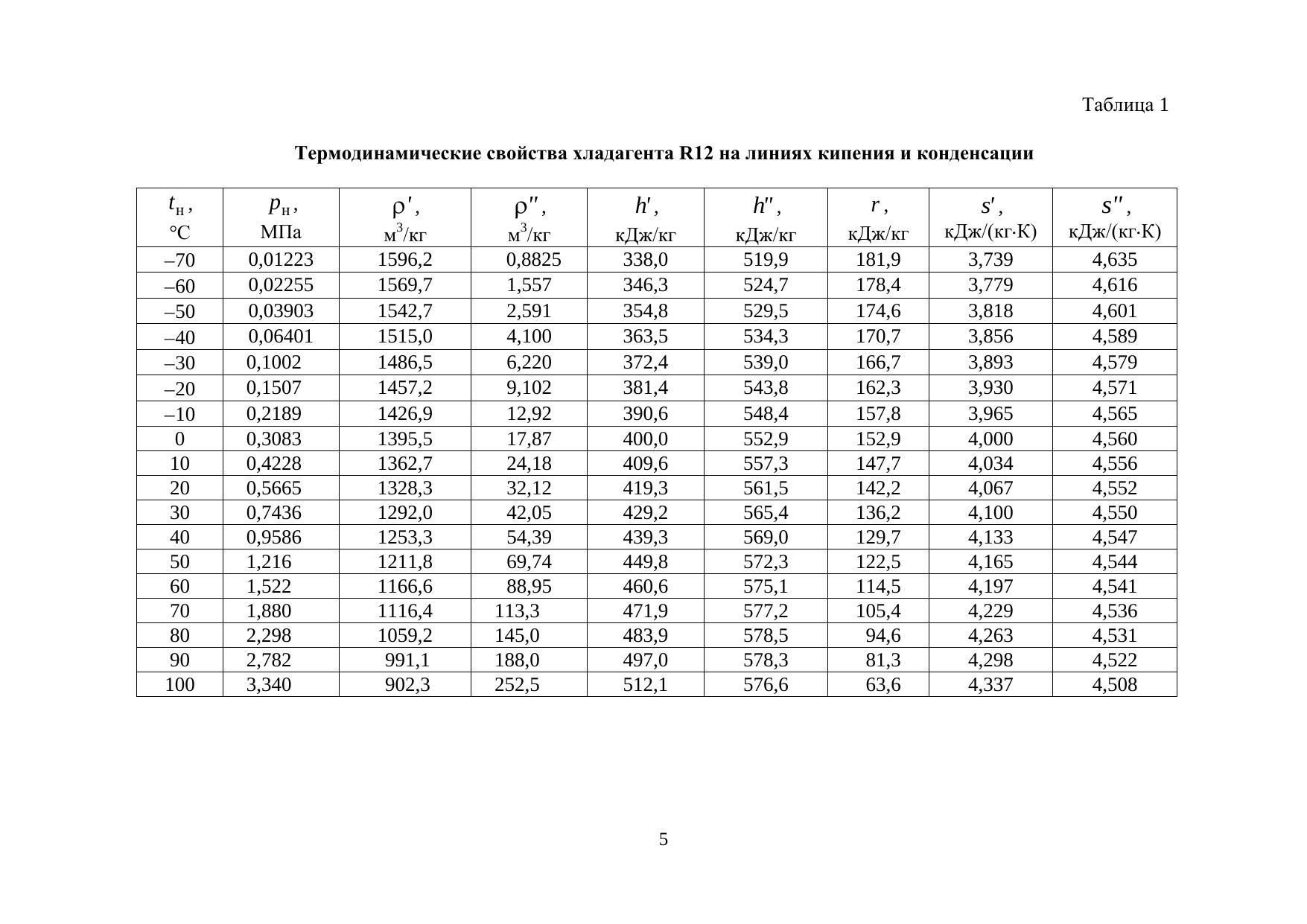
Приведены таблицы термодинамических и теплофизических свойств, а также диаграммы состояния рабочих веществ низкотемпературной техники. Предназначено для студентов всех направлений, изучающих термодинамику и теплопередачу.
Вверх