

Сетевой и межсетевой обмен данными с микроконтроллерами
Авторы: Иди Ф.
Издательство: Додэка-XXI
ISBN 978-5-94120-106-8; 2010 г.
Кол-во страниц: 369
О книге:
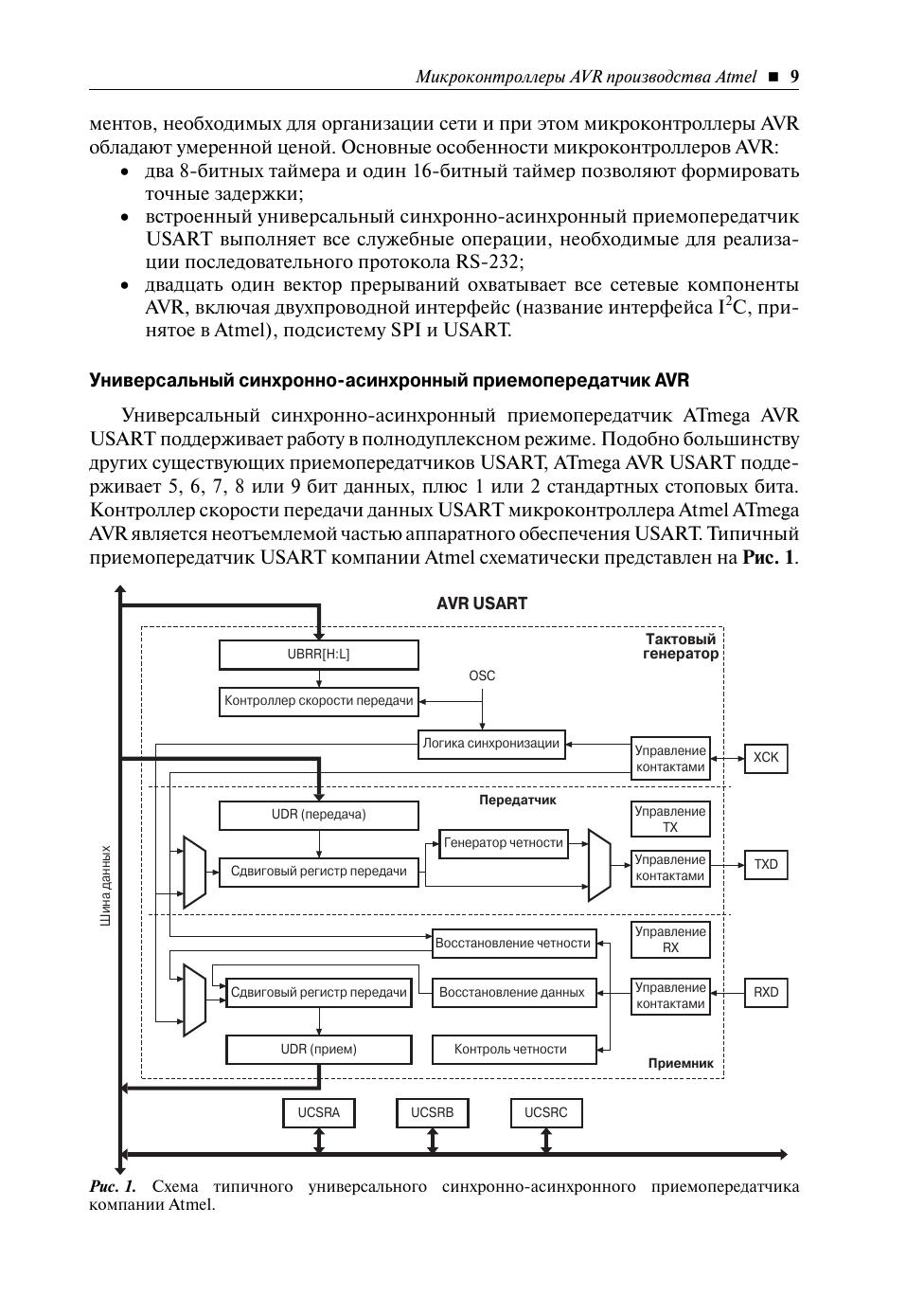
Книга посвящена вопросам создания успешно работающих сетевых устройств на базе микроконтроллеров. Из нее вы узнаете все об интеграции RS 232, I2C и Ethernet в сетевое устройство, предназначенное для организации связи по локальным (LAN) или глобальным (WAN) сетям, или через Интернет. Кроме того, вы будете иметь полное представление о том,как программируются такие устройства. Сетевые устройства создавались на базе популярных микроконтроллеров Atmel и Microchip. При программировании микроконтроллеров Atmel использовался компилятор ICCAVR Pro, а при программировании микроконтроллеров PIC — компилятор CCS PIC. Книга рассчитана на инженеров, программистов и студентов, изучающих микроконтроллерную технику, а также будет представлять интерес для всех желающих самостоятельно разобраться в этой области.