

Особенности проектирования и строительства систем радиосвязи
Особенности проектирования и строительства систем радиосвязи
Авторы: Григорьев В.А., Ермолинский И.М., Лагутенко О.И., Распаев Ю.А.
Хворов И.А.
Издательство: НИУ ИТМО (Санкт-Петербургский национальный исследовательский университет информационных технологий, механики и оптики)
2012 г.
Кол-во страниц: 137
О книге:
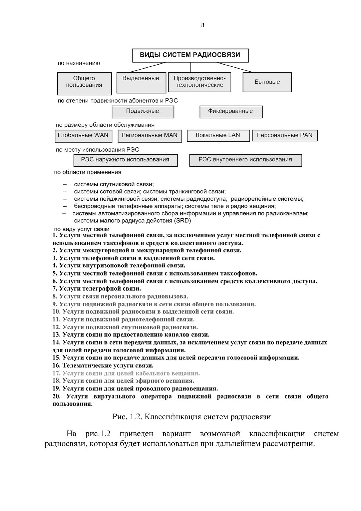
В издании рассмотрены особенности государственного регулировании процессов проектирования и строительства систем радиосвязи, перечислены основные элементы процесса регулирования, включая предоставление различного рода ресурсов. Рассмотрен порядок выполнения работ по проектированию и строительству систем радиосвязи, приведены сведения о типовых процедурах проектирования и строительства, а также о порядке выполнения необходимых действий по взаимодействию в процессе строительства с государственными органами различных ведомств. Рассмотрены особенности ввода в эксплуатацию систем и объектов радиосвязи. Приведены сведения о видах ответственности за правонарушения в области проектирования и строительства систем радиосвязи.