 
        
        
        
        
    
Инструментальные средства конструкторского проектирования электронных средств
Инструментальные средства конструкторского проектирования электронных средств
				                            Авторы: Иванова Н.Ю., Романова Е.Б.
                                                            Издательство: НИУ ИТМО (Санкт-Петербургский национальный исследовательский университет информационных технологий, механики и оптики)
            
                         2013 г.
                    Кол-во страниц: 121
                
	
О книге:
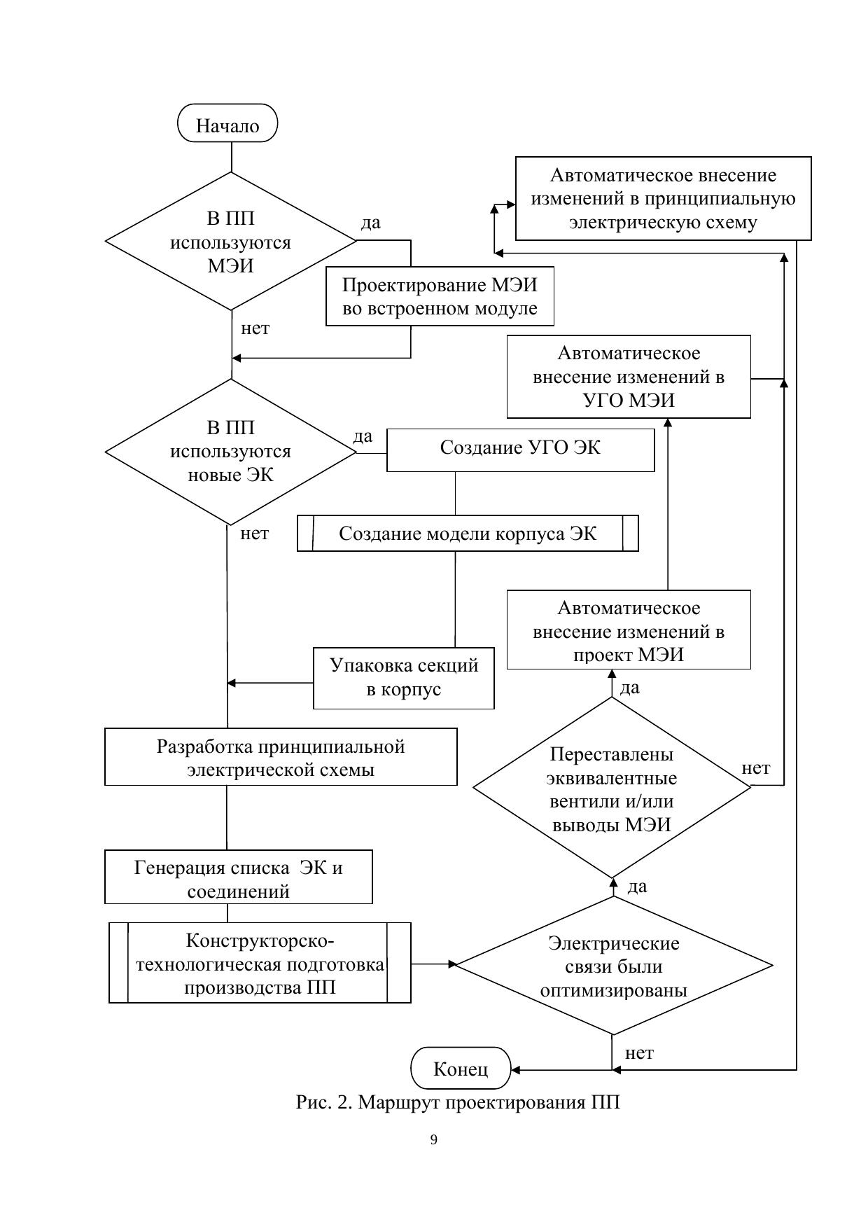
В  учебном  пособии  рассмотрены  примеры  использования инструментальных средств в различных системах автоматизированного проектирования. Первый раздел посвящен разработке библиотек в различных  САПР:  электронных  (используемых  для  сквозного проектирования печатных плат), машиностроительных (используемых для конструирования деталей и сборочных единиц) и электротехнических (используемых для сквозного проектирования кабелей и жгутов). В пособии затронуты вопросы разработки схем, т.к. это является неотъемлемой частью сквозного проектирования электронных средств. Двухмерное и трехмерное моделирование рассмотрено на примере использования электронной САПР Altium Designer.