

Общая и неорганическая химия: учеб. справочник
Авторы: Гусева А.Ф., Атманских И.Н., Балдина Л.И., Анимица И.Е., Нохрин С.С., Кочетова Н.А.
Издательство: Уральский федеральный университет
ISBN 978-5-7996-0737-1; 2012 г.
Кол-во страниц: 80
О книге:
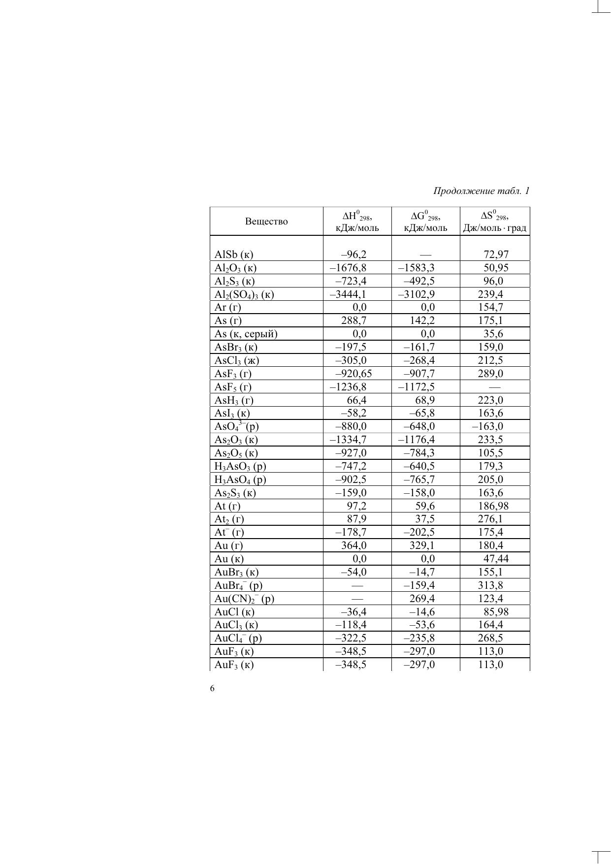
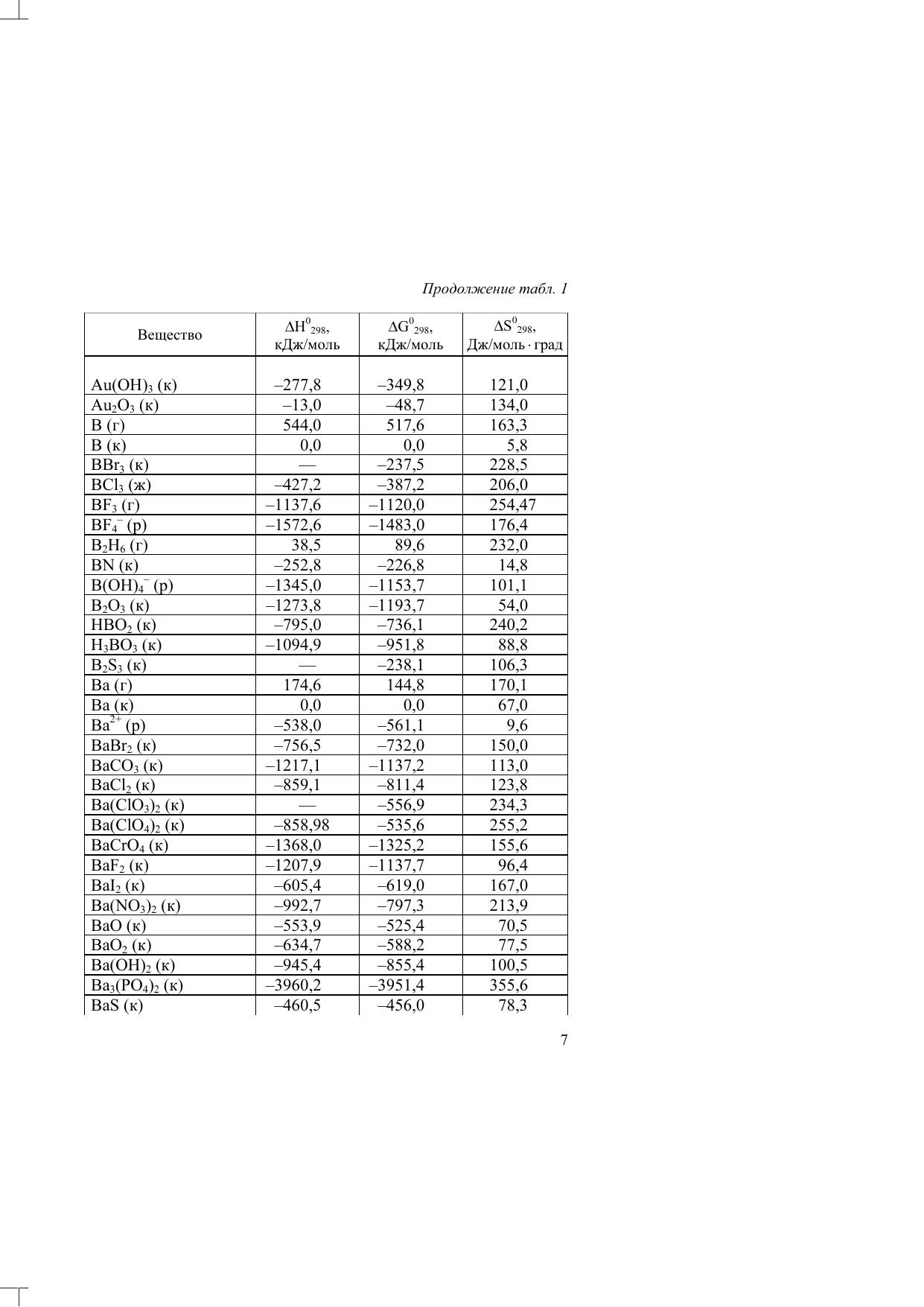
Учебный справочник содержит сведения о свойствах химических
элементов и их соединений, которые оформлены в виде 14 таблиц. Пред-
назначен для использования на практических занятиях.
Для студентов университета, изучающих дисциплины «Общая хи-
мия» и «Основы химической термодинамики».
Вверх