 
        
        
        
        
     
	Общая физика. Механика (главы курса)
				                            Авторы: Аксенова Е. Н.
                                                            Издательство: ЛАНЬ
            
                            Издание: 2-е изд., стер.
                          ISBN 978-5-507-50307-0; 2024 г.
                    Кол-во страниц: 128
                
	
О книге:
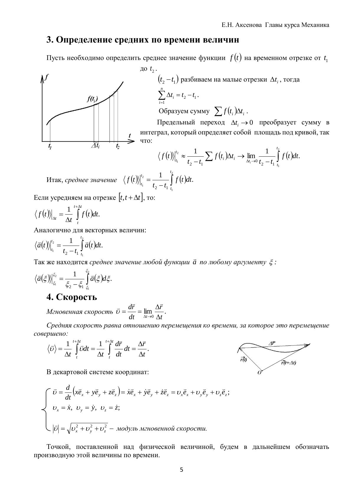
Этот курс общей физики является результатом многолетней преподавательской деятельности доцента, кандидата физико-математических наук Е.Н. Аксеновой. Он создан по просьбе и при технической поддержке самих учащихся.  Главной особенностью успешного изучения физики, как и математики, является тот факт, что уровень понимания и знания предмета прямо пропорционален количеству самостоятельно решенных задач. В связи с этим курс ставит своей целью не только познакомить читателя с физическими законами, но и научить пользоваться изложенным материалом применительно к решению задач, построив мостик между УЗНАЛ, ПОНЯЛ и МОГУ ИСПОЛЬЗОВАТЬ, РЕШАТЬ ЗАДАЧИ. Отличительной особен-ностью этого курса является его интерактивный характер, заключающийся в том, что материал каждой темы в процессе его изложения содержит четко сформулированные качественные вопросы. Они помогают понять физические нюансы изучаемого материала и выработать личное суждение по данному вопросу, а затем сравнить его с правильным ответом. К каждому разделу прилагается своеобразный «золотой ключик», открывающий путь к освоению темы. Это параграф, посвященный методике решения задач по данной теме с последовательным изложением программы практических действий.  Живая интерактивная форма изложения материала позволяет успешно использовать этот курс при подготовке учащихся к ЕГЭ по физике и для студентов средних профессиональных учреждений. Соответствует современным требованиям Федерального государственного образовательного стандарта среднего профессионального образования и профессиональным квалификационным требованиям.
 
                     
                     
                     
                    