 
        
        
        
        
    
Неопределенный интеграл. Методическая разработка
Неопределенный интеграл. Методическая разработка
				                                                                    Издательство: Национальный исследовательский Томский государственный университет
            
                         2013 г.
                    Кол-во страниц: 56
                
	
О книге:
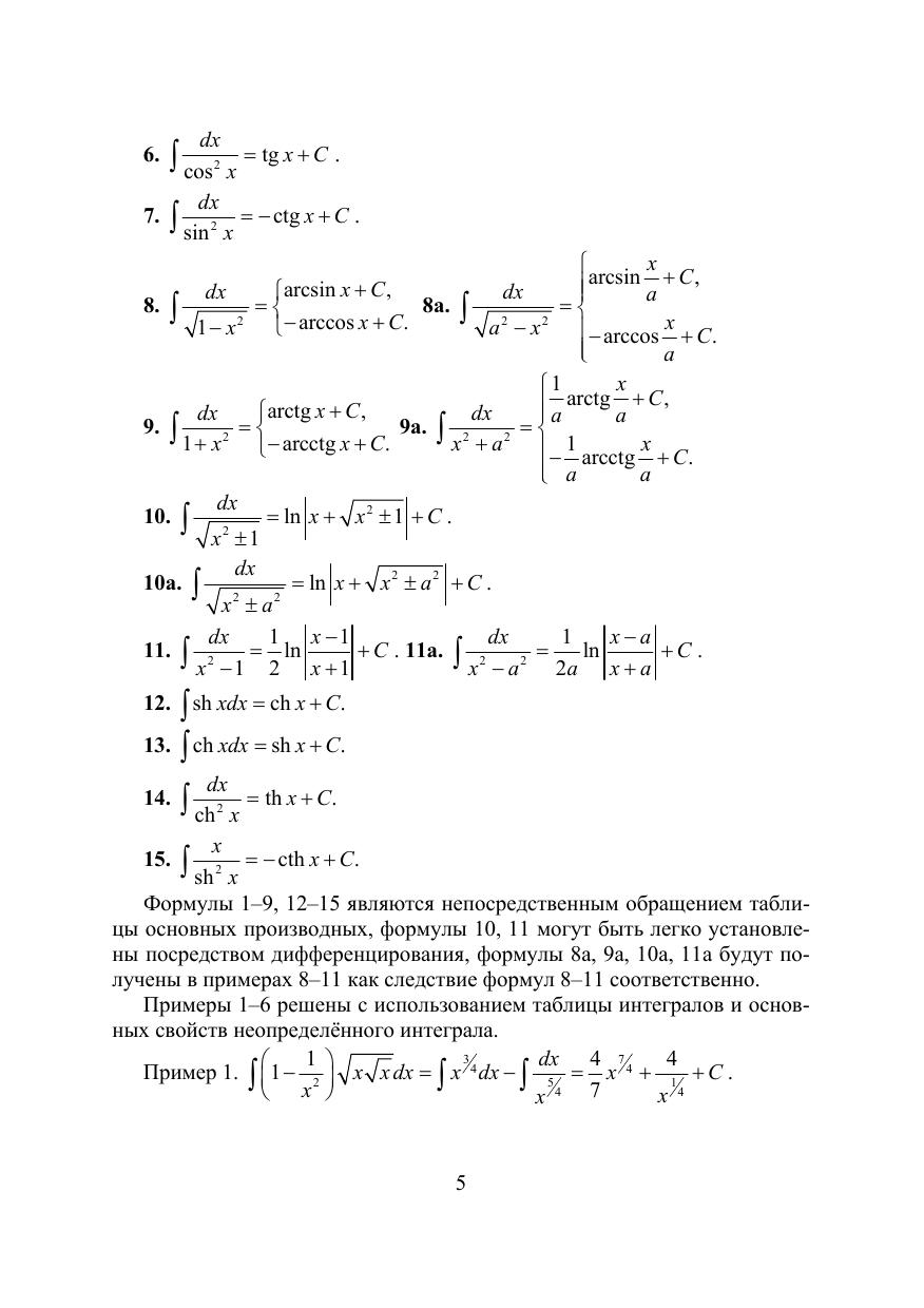
В методической разработке изложена теоретическая часть занятий по теме «Неопределенный интеграл» и предложены разнообразные задачи. Для студентов физического, физико-технического, радиофизического факультетов дневной формы обучения.
Вверх