X
Расширенный поиск
Все разделы
Корзина
у вас нет товаров
Компьютерные лабораторные работы по физике, химии, биологии Благовещенский В. В.

Компьютерные лабораторные работы по физике, химии, биологии

Авторы:
Издательство: ЛАНЬ
ISBN 978-5-8114-2610-2; 2022 г.
Кол-во страниц: 100

Положить в корзину

Предварительный просмотр:

О книге:

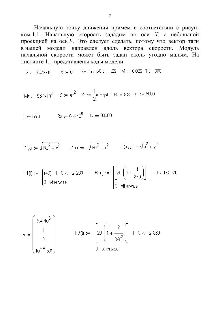
Учебное пособие содержит описание пятнадцати оригинальных компьютерных лабораторных работ по физике, химии и биологии. Выбор тем лабораторных работ определялся невозможностью или трудностью реализации их в учебной физической, химической и биологической лабораториях. Поэтому это пособие восполняет указанный пробел. Физические эффекты, на которых построены лабораторные работы, рассматриваются, как правило, в курсах соответствующих наук, но теоретическое описание их невозможно без привлечения численных методов. Поэтому для их изучения и выбран метод компьютерного моделирования. Пособие дает первичные навыки построения моделей и предназначено для студентов вузов, обучающихся по направлениям подготовки и специальностям, входящим в УГС: «Физика и астрономия», «Химия», «Биологические науки», «Химические технологии», «Промышленная экология и биотехнологии», а также инженерно-техническим направлениям подготовки. Может также использоваться в качестве лекционных демонстраций.

Последние просмотренные
Вверх