

Многолетняя подготовка футболистов в спортивной академии
Авторы: Антипов А. В., Губа В. П.
Издательство: ООО «Спорт»
2023 г.
Кол-во страниц: 216
О книге:
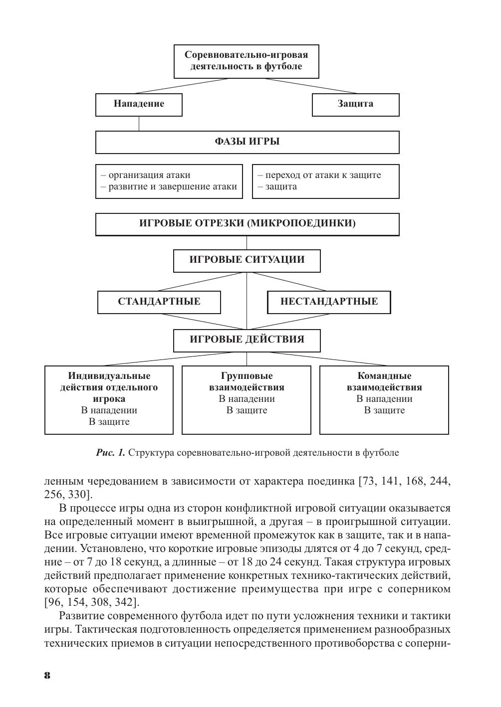
В монографии рассматриваются теоретические вопросы многолетней подготовки футболистов в спортивной академии. Методика позволяет описать всю процедуру исследования многолетней подготовки футболистов. Анализ программ подготовки обеспечивает понимание различий, существующих в отечественной и зарубежной системах многолетней подготовки футболистов в государственных структурах и академиях профессиональных команд. Разработка и обоснование критериев и программы спортивного отбора и видовой ориентации определяют направленность многолетнего тренировочного процесса в футбольных академиях Российской Федерации. Программирование тренировочных нагрузок на этапах спортивной подготовки позволяет решить вопросы, связанные с повышением уровня спортивной подготовленности на этапах годичного тренировочного цикла. Организация тренировочного процесса в футбольных академиях рассматривается в качестве ключевого звена эффективной подготовки спортивного резерва. Монография адресована бакалаврам, магистрантам и аспирантам спортивных вузов, а также тренерам, работающим с профессиональными командами и слушателям ВШТ.