X
Расширенный поиск
Все разделы
Корзина
у вас нет товаров
4-х ладейные окончания Листенгартен Л., Ходарковский М.

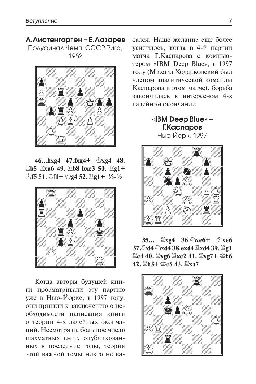
4-х ладейные окончания

Авторы:
Издательство: ООО «Спорт»
ISBN 978-5-906839-50-3; 2016 г.
Кол-во страниц: 320

Положить в корзину

Предварительный просмотр:

О книге:

Эта книга – учебник по одному из актуальных видов шахматных окончаний для любителей и практическое пособие для тренеров. Английский вариант пользуется успехом за рубежом. Не будет исключением и русское издание среди российских любителей шахмат.

Последние просмотренные
Вверх