

Таможенная статистика: методы анализа и прогнозирования: учебное пособие
Авторы: Крутова Т.А., Родительская Е.В., Ширкунова Н.В., Турланова И.М.
Кузина Е.А.
Издательство: РТА (Российская таможенная академия)
ISBN 978-5-9590-0263-3; 2011 г.
Кол-во страниц: 76
Гриф: Допущено учебно-методическим советом Российской таможенной академии в качестве учебного пособия для студентов, обучающихся по специальностям "Экономика и управление на предприятии (таможня)", "Таможенное дело", "Юриспруденция"
О книге:
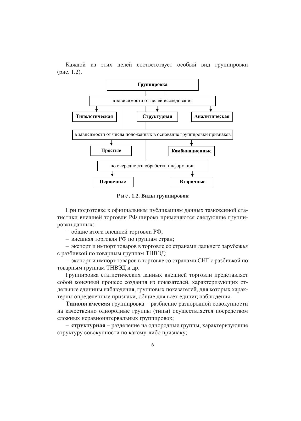
В учебном пособии рассматриваются основные методы обработки и анализа данных таможенной статистики, использование которых позволяет по лучать достоверную информацию для принятия управленческих решений в области таможенного дела.
Рассчитано на студентов Российской таможенной академии, специали стов таможенного дела, а также всех, кто интересуется вопросами организа ции и ведения таможенной статистики в Российской Федерации.