

Инновационная направленность кадрового консультирования в условиях реального экономического пространства: альтернативные способы формирования и поиск новых возможностей развития
Авторы: Роздольская И.В., Ледовская М.Е., Однорал Н.А.
Издательство: Дашков и К
ISBN 978-5-394-02495-5; 2014 г.
Кол-во страниц: 275
О книге:
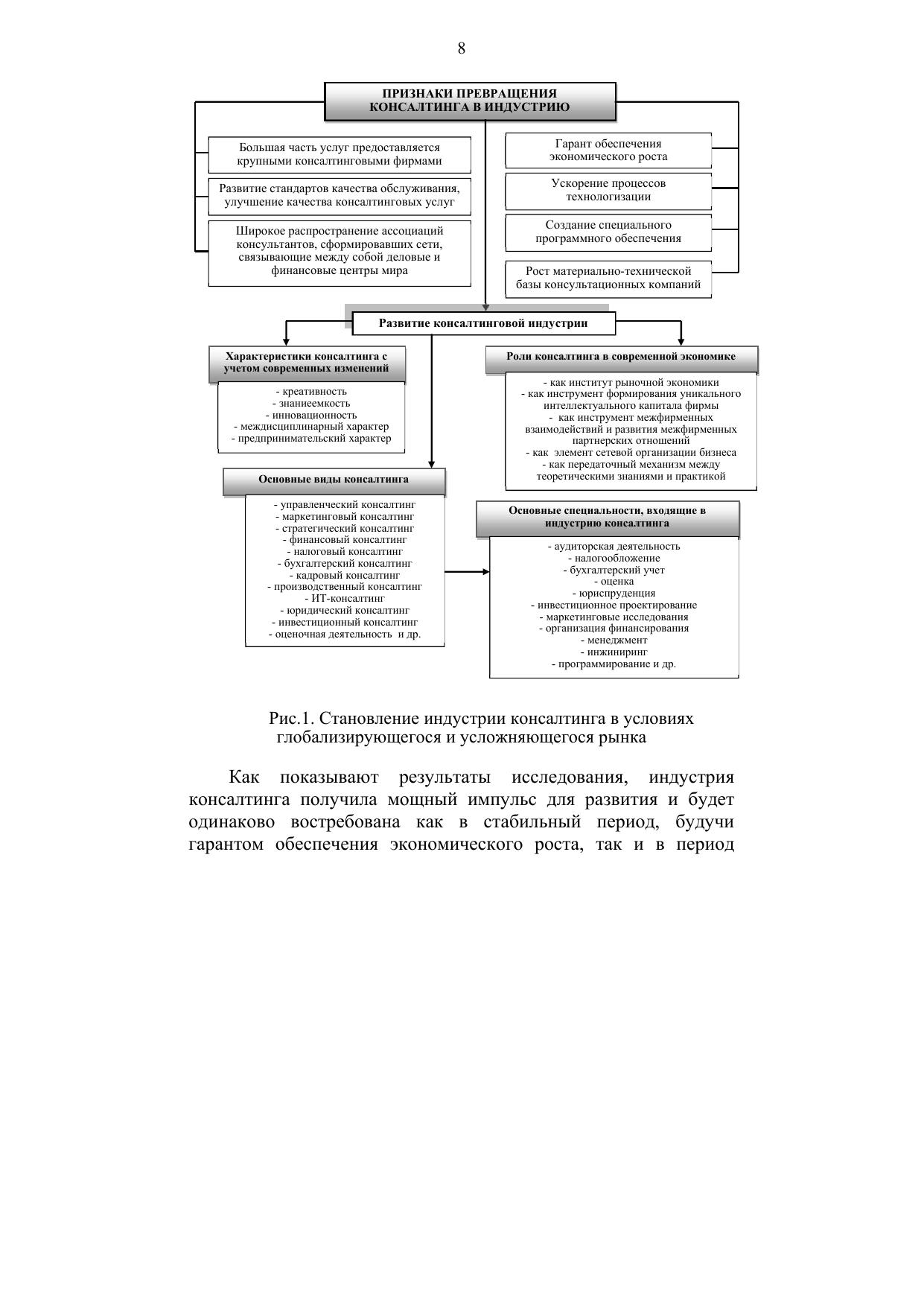
В монографии с научных позиций и в логической последовательности представлен современный материал по тематике, раскрывающей динамический формат развития рынка кадрового консалтинга, сформулировано целостное представление о кадровом консалтинге как одной из динамично развивающихся областей бизнеса, дается характеристика основных услуг кадрового консалтинга. Основой издания является изложение вопросов, отражающих основные аспекты концептуального развития кадрового консалтинга, реализованных в его структурном построении. Показано эффективное влияние кадрового консультирования как многофункциональной и многоаспектной интерактивной системы на инновационное развитие организации.
Издание предназначено научным работникам, преподавателям, магистрантам, аспирантам, практическим работникам – специалистам, оказывающим консалтинговые услуги.