

Антикризисное управление
Авторы: Демчук О. Н., Ефремова Т. А.
Издательство: ФЛИНТА
Издание: 4-е изд., стер.
ISBN 978-5-9765-0224-6; 2022 г.
Кол-во страниц: 251
О книге:
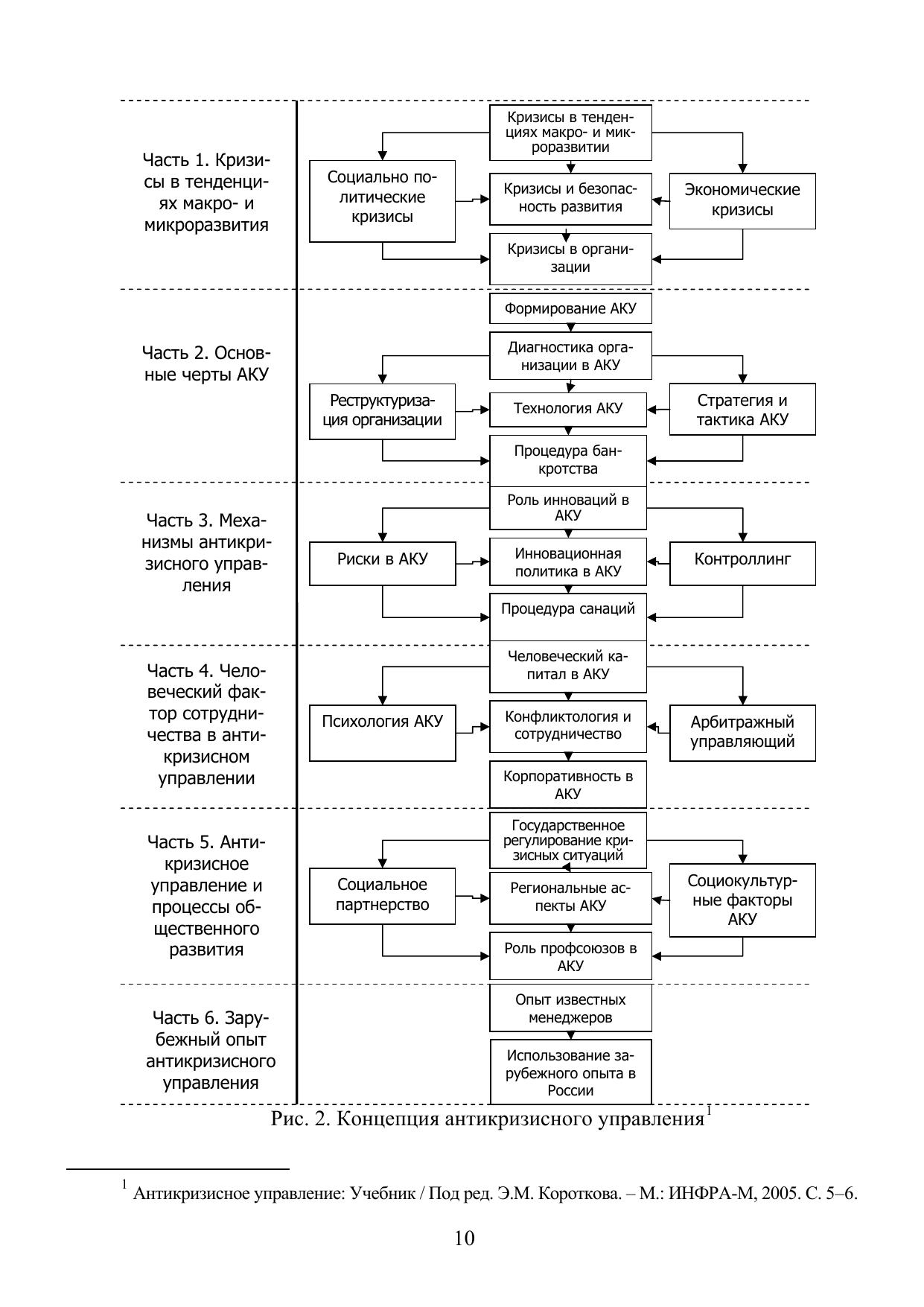
В пособии рассматривается антикризисное управление на макроуровне экономики, раскрываются технология и методика управления организацией, преодоление банкротства предприятиями, исследуются особенности антикризисного управления в малом бизнесе.
Для преподавателей и аспирантов экономических вузов и факультетов, студентов, обучающихся по экономическим специальностям, слушателей бизнес-школ. Рекомендуется всем, кто занят в сфере менеджмента на различных уровнях управления. Для лучшего усвоения материала к пособию прилагается практикум на компакт-диске.