

NET Framework 2.0. Секреты создания Windows-приложений
Авторы: Байдачный С.С.
Издательство: СОЛОН-Пресс
ISBN 5-98003-245-2 ; 2008 г.
Кол-во страниц: 520
О книге:
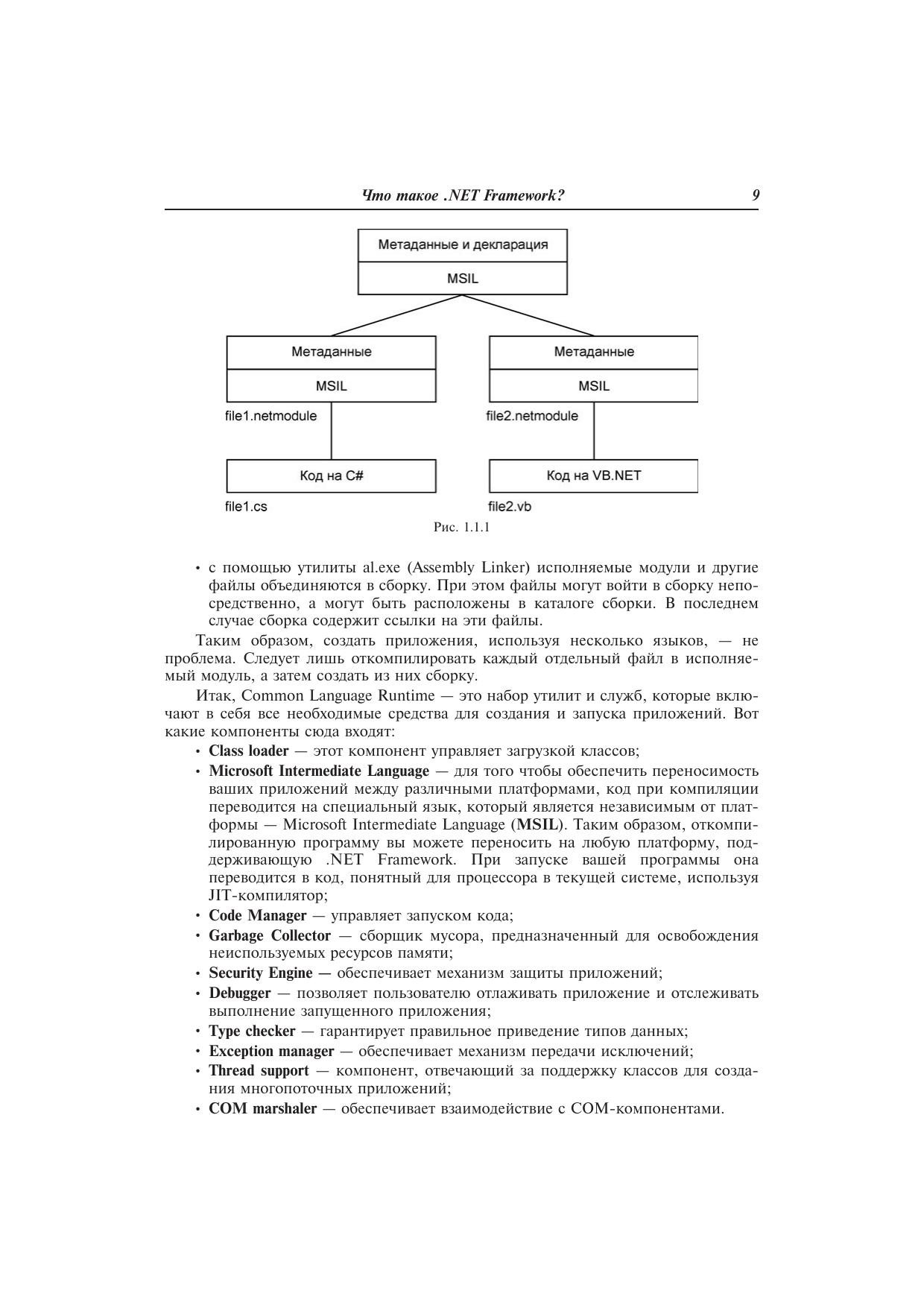
На сегодняшний день .NET Framework настолько опередила конкурирующие платформы, что предполагается платформой «по умолчанию» для разработки любых программных продуктов. Это связано с тем, что компания Microsoft не просто учла ошибки других производителей и пожелания разработчиков, но и внесла много нового в разработку приложений всех типов. .NET Framework реализует множество идей, которые раньше были лишь на бумаге.Компания Microsoft, как разработчик платформы .NET, постоянно совершенствует и расширяет возможности этой платформы. В 2005 году появится очередной релиз — .NET Framework 2.0. Совместно с SQL Server 2005 и Visual Studio .NET 2005 он станет мощным инструментом для разработки приложений. Купив эту книгу, вы будете готовы к появлению новой версии платформы, так как тут идет речь именно о .NET Framework 2.0.Материал книги позволит освоить основы программирования на языке С# и приступить к профессиональной разработке Windows-приложений. Вы сможете убедиться, что разрабатывать приложения с использованием .NET Framework так же просто, как и Windows-приложения с использованием таких продуктов, как Visual Basic или Delphi.