

Как спасти свой бизнес?
Авторы: Мансуров Р.Е.
Издательство: СОЛОН-Пресс
ISBN 978-5-91359-106-7; 2012 г.
Кол-во страниц: 96
О книге:
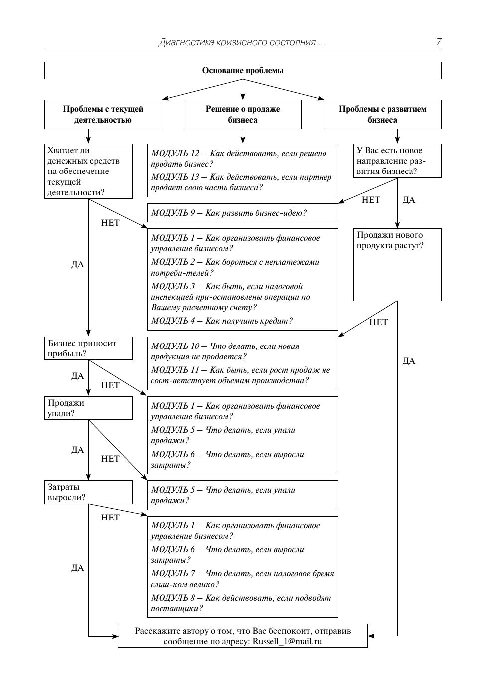
Вы держите в руках книгу, которая задумывалась как инструкция по выживанию в кризис для мелких и средних предпринимателей. Эта книга — руководство к действию, конкретное, практическое и помогающее. Структура книги задумана так, что Вам необходимо прочитать первую главу, в которой будет предложено провести диагностику кризисного состояния Вашей компании, т.е. выявить те первоочередные проблемы, с которыми нужно бороться. После этого, когда вы поймёте что же нужно исправлять в компании, вы можете перейти к чтению уже конкретного раздела и начать его практическую реализацию. Книга будет полезна средним и мелким предпринимателям, а также всем кто хочет ими стать. Она поможет избежать ошибок при планировании и ведении бизнеса и не потерять наработанного уровня в период кризиса и иных проблем в экономике.